第4回じゃんけん大会の詳細について
2013.06.26
公式ニュース
いつもAKB48を応援下さり、誠に有難う御座います。
先日、京セラドーム大阪での『さよならクロール』全国握手会イベントにて発表致しました、34thシングル選抜じゃんけん大会に付きまして、改めてお知らせ致します。
『AKB48 34thシングル選抜じゃんけん大会』を、
2013年9月18日
『日本武道館』
にて開催することが決定いたしました!今年で第4回目の開催となります。
AKB48チームA・チームK・チームB所属メンバーに加え、今回もAKB48グループ内の『SKE48』『NMB48』『HKT48』メンバーにも本戦出場枠を設定いたしました。
なお、AKB48を兼任している
SKE48松井珠理奈、古畑奈和
NMB48渡辺美優紀、矢倉楓子
HKT48兒玉遥
JKT48高城亜樹、レナ・ノザワ
SNH48鈴木まりや
以上8名は、本戦からの出場となります。
また、卒業を発表させて頂いております、AKB48チームAキャプテン篠田麻里子、チームK秋元才加、板野友美、NMB48チームN福本愛菜の計4名に加え、JKT48、SNH48専属メンバーは、じゃんけん大会に参加は致しません。
御理解、御了承の程、何卒宜しくお願い致します。
・各グループの本戦出場枠の内訳
AKB48
[研究生予備戦]研究生から4名を選出
[予備戦参加人数]兼任メンバーを含む所属メンバー62名は本戦から出場
[本戦出場枠] 66名
SKE48
[研究生予備戦]研究生から4名を選出
[予備戦参加人数]所属メンバー44名+研究生4名=48名
※チームS松井珠理奈、チームE古畑奈和は本戦から出場の為、人数から省いております。
[本戦出場枠] 8名
NMB48
[研究生予備戦]研究生から3名を選出
[予備戦参加人数]所属メンバー43名+研究生3名=46名
※チームN渡辺美優紀、チームM矢倉楓子は本戦から出場の為、人数から省いております。
[本戦出場枠] 8名
HKT48
[研究生予備戦]研究生から4名を選出
[予備戦参加人数]所属メンバー14名+研究生4名=18名
[本戦出場枠] 3名
※チームH児玉遥は本戦から出場の為、人数から省いております。
各グループの本戦出場枠に関しましては、東海大学理学部情報数理学科 鳥越規央 先生に監修頂き、設定いたしました。以下、確率算出の方程式になります。
※京セラドームで発表させて頂きました研究生予備戦から予備戦に参加出来る人数に関しまして、誤表記が有り以下計算式の元、訂正してお詫び申し上げます。
2013じゃんけん大会における,姉妹グループ,ならびに研究生からの勝抜き人数の算出方法について
勝抜き数の決め方として,本戦から選抜メンバーに入れる確率、予備戦から本戦に出場できる確率、各グループ研究生予備戦から予備戦に出場できる確率をほぼ等しくするという条件を設定致しました。
以下にこの問題の解法を説明いたします。
まず現在の出場メンバー数は
AKB48 兼任メンバーを含む所属メンバー 62名、研究生 24人
SKE48 所属メンバー 44人、研究生 22人
NMB48 所属メンバー 43人、研究生 20人
HKT48 所属メンバー 14人、研究生 24人
となっています。
そこで、
SKE48予備戦から本戦に出場できる人数を x
NMB48予備戦から本戦に出場できる人数を y
HKT48予備戦から本戦に出場できる人数を z
AKB48研究生予備戦から本戦に出場できる人数を a
SKE48研究生予備戦からSKE48予備戦に出場できる人数を s
NMB48研究生予備戦からNMB48予備戦に出場できる人数を n
HKT48研究生予備戦からHKT48予備戦に出場できる人数を h
とすると、
(1) 本戦において,選抜メンバーを勝ち取れる確率は
(2) SKE48予備戦から本戦に勝ち上がれる確率は
(3) NMB48予備戦から本戦に勝ち上がれる確率は
(4) HKT48予備戦から本戦に勝ち上がれる確率は
(5) AKB48研究生予備戦から本戦に勝ち上がれる確率は
(6) SKE48研究生予備戦からSKE48予備戦に勝ち上がれる確率は
(7) NMB48研究生予備戦からNMB48予備戦に勝ち上がれる確率は
(8)HKT48研究生予備戦からHKT48予備戦に勝ち上がれる確率は
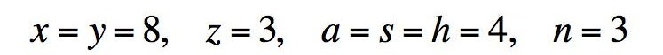
となります。そこで問題の条件をみたす自然数解は、上記の8個の値の分散を最も小さくするものが最適であるとし、それを計算した結果、
が最適解であることがわかりました。よって
SKE48予備戦の勝抜き人数を 8
NMB48予備戦の勝抜き人数を 8
HKT48予備戦の勝抜き人数を 3
AKB48研究生予備戦の勝抜き人数を 4
SKE48研究生予備戦の勝抜き人数を 4
NMB48研究生予備戦の勝抜き人数を 3
HKT48研究生予備戦の勝抜き人数を 4
と致します。
上記より、じゃんけん大会総参加人数は、各グループ(AKB、SKE、NMB、HKT)の予備戦を勝ち抜いた23名と、AKB48所属メンバー54名、兼任メンバー8人を加えた合計:85名となります。
第1回では内田眞由美が一夜にしてシンデレラとなり、
第2回では篠田麻里子がこぶし一つで初センターをもぎ取り、
第3回では島崎遥香が次世代エースへの扉を自らの拳でこじ開けました。
果たして今年はどんなドラマが誕生するのか!?
じゃんけんの女神はいったい、どこの誰に微笑むのか!?
みなさん、かけ声のご準備を! READY~!!
◆◆◆各グループの予備戦開催日◆◆◆
各グループのじゃんけん大会予備戦は、以下日程で開催致します。
※時間については、公演の都合上、変更となる可能性が御座います。
AKB48:研究生予備戦
■日程:2013年7月6日(土)
■時間:18:00~
SKE48研究生予備戦
■日程:2013年7月2日(火)
■時間:18:00~
SKE48予備戦
■日程:2012年7月3日(水)
■時間:18:00~
NMB48研究生予備戦
■日程:2013年6月29日(土)
■時間:13:00~
NMB48予備戦
■日程:2013年7月4日(木)
■時間:18:30~
HKT48研究生予備戦及び予備戦
■日程:2012年7月10日(水)
■時間:18:00~
詳細は各グループの公式ブログをご確認ください。
